

常见的色彩模型:
① RGB色彩模型:常用于电视、摄像机等显示器,遵循加色法则(光的三原色,越混越白);缺点是色彩空间不够均匀,不容易进行色差的评价;与直观的色调、饱和度、亮度没有直接联系,不符合人的认知心理
② CMYK模型:用于彩色打印,对应青、品红、黄、黑,遵循减色法则(颜料三原色,越混越黑),可以满足打印的要求④
③ YCbCr模型:是YUV压缩和偏移的版本,将亮度(Y)和色度(U, V)分开。 Cb、Cr指蓝色色度、红色色度,图片(JPEG)、视频(MPEG)、DVD、摄像机、数字电视都采用这一格式,注意在不同色域(如BT.601, BT.709)下要使用相应的RGB2YUV转换矩阵
④ CIEXYZ色彩模型:为人眼实际感知的物体色彩响应值,是一种设备无关的颜色系统,可以由反射率、CIE XYZ人眼颜色匹配函数、光源SPD (Spectral Power Distribution)量化,是一种非均匀的颜色空间。各颜色空间各自独立,但可以通过XYZ作为媒介,变换至其他的颜色空间
⑤ CIELAB色彩模型:是一种设备无关的颜色系统,基于一种颜色不能同时既是蓝又是黄这个理论而建立。同一个椭圆内的颜色人眼观察起来是相同的,可见CIELAB的椭圆大小和形状优于CIELUV,是一种相对均匀的颜色空间

⑥ CIELCH色彩模型:采用了同CIELAB一样的颜色空间,但它采用L表示明度值,C表示饱和度以及H表示色调角度值的柱形坐标
⑦ HSL色彩模型 (Hue, Saturation, Lightness):类似于人眼对颜色的感知方式。 HSL将RGB色彩模型中的点在圆柱坐标系中表示,H-色相,如红色、黄色等;S-饱和度,取0-100%;L-亮度,取0-100%

⑧ HSV色彩模型 (Hue, Saturation, Value):同样类似于人眼对颜色的感知方式。 HSV在概念上常被认为是颜色的倒圆锥体,代表可区分出的饱和度和色相的级别数目随着明度接近黑色而降低。实际应用经常选择HSV色轮,色相表示为圆环, 三角形表示饱和度和明度,对饱和度的定义和HSL是明显不同的

常见的色域:
① CIE 1931 XYZ颜色空间:为人眼最大能感知色彩的范围,将人眼三刺激值量化后,取x和y平面图。其中黑线为普朗克曲线,从右至左的范围为1000K-20000K

② sRGB:是美国HP公司和Microsoft公司于1997年开发的标准颜色空间
③ Adobe RGB:是Adobe Systems于1998年开发的色彩空间,粗略包括了50%的Lab色彩空间中的可视色彩,主要在青绿色系上有所提升,能够在CMYK彩色印刷中利用计算机显示器等设备的RGB颜色模式上 囊括更多的颜色
④ DCI-P3:美国电影行业推出的一种广色域标准,是目前数位电影回放设备的色彩标准之一,比sRGB大了25%,绿色和红色的范围更广;苹果、索尼、三星等公司正逐步将DCI-P3作为广色域的标准;90% DCI-P3色域代表HDR规格显示器的基本色彩要求
⑤ BT. 2020:传统电视使用BT.601和BT.709色域,大多数高清电视和电脑会使用BT.709或DCI/P3,超高清电视会使用更广的色域空间,如BT.2020,包含可视颜色的57.3%

颜色空间转换包括:
1,RGB2XYZ / XYZ2RGB
sRGB:
P3:

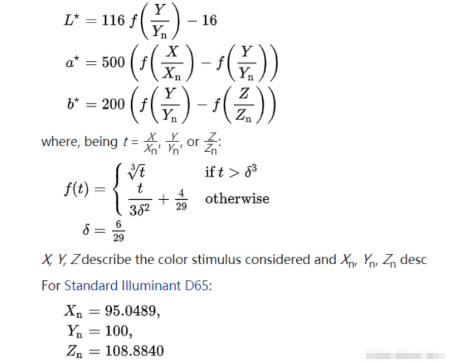
2,XYZ2LAB / LAB2XYZ
转换参考色Xr, Yr, Zr使用D65光源。其中,L∈(0, 100),a∈(-128, 127),代表红绿,b∈(-128, 127),代表黄蓝。在OpenCV中,对LAB数据对齐做了量化,使其处于0~255的范围。

基于LAB空间,可以计算色差ΔE
也可以计算Δab
3,LAB2LCH

基于LCH色彩空间,可以计算ΔHue
也可以计算ΔChroma
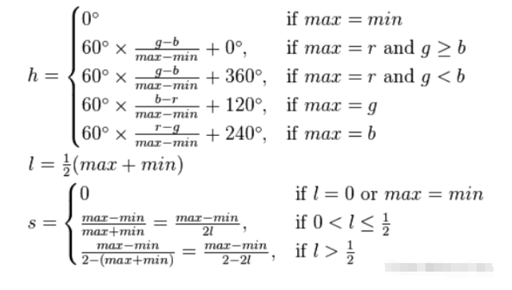
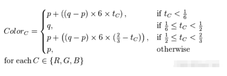
4,RGB2HSL / HSL2RGB



5,RGB2HSV / HSV2RGB
对于RGB2HSV,色相H的定义相同,其他分量S, V不同
对于HSV2RGB,如果饱和度S和明度V变化于0~1之间,那么RGB可以表示为

6,RGB2YUV / YUV2RGB(原点/全范围/限制范围)
思路:由Kr, Kg, Kb而来,代表整体R, G, B亮度比例 
BT.601

BT.709

BT.709

Adobe RGB
显示P3

剧场P3

BT.2020

7,RGB2LAB
即先做RGB2XYZ, 再做XYZ2LAB

